Chronic Illness
A Surprising Link Between Mono and MS
The so-called “kissing disease” may be linked to multiple sclerosis, research suggests.
Posted October 20, 2025 Reviewed by Devon Frye
Key points
- Epstein-Barr virus (EBV) is a common infection that can cause mononucleosis, or "mono."
- Recent research has also linked EBV to the development of multiple sclerosis (MS).
- Only a small fraction of people infected with EBV get MS, meaning EBV interacts with other factors.
- The EBV-MS link reminds us that there is not a sharp line dividing infectious and chronic disease.
For decades, researchers have suspected that Epstein-Barr virus (EBV), best known for causing infectious mononucleosis, might also be involved in triggering multiple sclerosis (MS). Recent research provides the strongest evidence yet that this isn’t just coincidence.
Understanding Epstein-Barr Virus and Multiple Sclerosis
EBV is a herpesvirus that causes infectious mononucleosis (aka “mono” or “glandular fever”). Symptoms often include sore throat, swollen glands, fever, and crushing fatigue. Like its herpesvirus cousins (e.g., varicella zoster (causing chickenpox/shingles) and HSV-1 (causing cold sores), once you’re infected, EBV sticks around for life, lying dormant in your B cells with occasional potential flare-ups, particularly in times of immunosuppression.
The “kissing disease” nickname for mono comes from its primary mode of transmission—saliva—and its prevalence in teens and young adults. But it can also be spread through shared utensils, drinks, or toothbrushes.
EBV is incredibly common; by age 30, over 90 percent of the population is infected. Infected children often have few or no symptoms, but getting infected for the first time as an adolescent or young adult is more likely to lead to mono.
MS is an autoimmune disease where the immune system mistakenly attacks the protective myelin sheath around nerve fibers, interrupting communication between the brain and the rest of the body. This can lead to numbness, muscle weakness, vision issues, and difficulty walking.
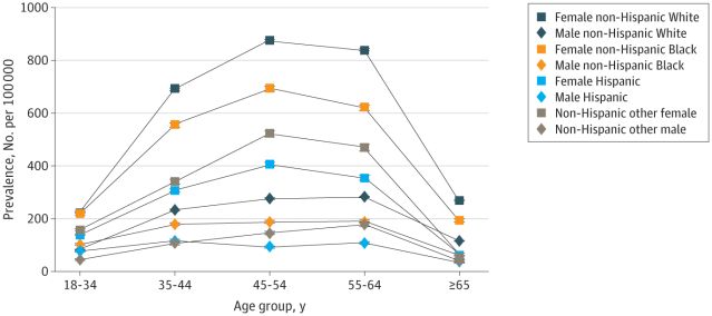
Some people with MS experience intermittent relapses, while others face a progressive decline. There’s currently no cure, but some treatments can help manage symptoms. In the U.S., MS is most common among white women aged 55-64, a group in which prevalence can reach nearly 1 percent (842 per 100,000 people):
What’s the EBV-MS Link?
An infectious trigger for MS has been suspected for well over a century. In the 1980s, scientists found higher levels of EBV antibodies in people with MS compared to healthy controls.
But correlation isn’t causation—it wasn’t clear if EBV caused MS, or if people with MS just had different immune responses in general. And of course, we can’t ethically randomize people to get a virus, so researchers had to lean on evidence from other types of research designs.
In 2022 researchers published a massive study of over 10 million active-duty U.S. military personnel with baseline blood samples upon military enrollment. About 5 percent of the sample were EBV-negative at baseline. Given the large overall numbers, this was a rare but golden opportunity to track what happens next.
The study found that among the 801 people who later developed MS:
- Only one was EBV-negative throughout.
- 35 were EBV-negative at baseline, but all but one became infected before MS onset.
- This corresponded to a 32.4X higher risk of MS following EBV infection.
In epidemiology, we get “excited” about 1.5X or 2X risk increases. A 32X increase is massive. An effect size that strong is unlikely to be just due to random chance. Any unobserved "confounding" variable that might cause both EBV and MS would also have to be extremely powerful to explain this effect. That’s not impossible, but it is unlikely.
Ruling Out Other Explanations
Because this is an observational and not randomized study, the researchers also did a lot of other checks to bolster our confidence in cause and effect. Maybe this result really reflects a general susceptibility to viral infections that is also correlated with MS? Or perhaps pre-clinical MS increases one's susceptibility to infections (aka “reverse causality”)?
To try to rule these possible explanations out, researchers used cytomegalovirus (CMV), another herpesvirus transmitted similarly, as a “negative control.” Unlike EBV, getting CMV infection over the follow-up period didn’t raise MS risk, which was reassuring.
The researchers also did a deeper dive, testing for over 30 viral infections at the same time. Only antibodies against EBV were higher in MS cases compared to controls. This strengthens the evidence that the result isn’t just about immune dysfunction in MS patients; it’s something specific to EBV. Overall, this study provides as close to definitive evidence as we are likely to get about a causal link between EBV and MS.
Researchers have proposed several mechanisms through which EBV might trigger the autoimmune reaction seen in MS. One leading theory is molecular mimicry: EBV proteins, especially EBNA1, resemble components of myelin (the protective coating on nerve fibers), confusing the immune system into attacking the body’s own tissue. Research into these mechanism is on-going.
It’s important to note that nearly everyone is infected with EBV, but only a small fraction develop MS. This means that infection with EBV is likely to be necessary, but not sufficient, to trigger the development of MS. Other risk factors, like genetic susceptibility, may interact with EBV to cause MS, or the infection may trigger the disease randomly in a small fraction of people.
What This Means for MS Prevention and Treatment
It’s not ideal to learn that a super-common childhood virus may help trigger a lifelong neurological condition. But it could be incredibly helpful in moving toward solutions.
- Anti-CD20 monoclonal antibodies (like ocrelizumab) deplete B cells-the cells that harbor latent EBV-and have shown success in treating MS.
- Antivirals that treat EBV directly may slow clinical progression of MS.
- EBV vaccines have been in development for many years, but we aren’t there yet. Ideally they will offer promise for prevention of MS.
The case for a potential EBV vaccine is even stronger because the virus is also linked to Hodgkin lymphoma, Burkitt lymphoma, and nasopharyngeal cancer. There’s even emerging evidence that EBV may be reactivated during COVID-19, possibly contributing to autoimmunity and long COVID.
Infectious Disease and Chronic Disease Are Closely Connected
The story of EBV and MS is a powerful reminder that the line between infectious and chronic disease is not as sharp as we once thought, and of why infectious disease research deserves sustained investment.
Just as the HPV vaccine prevents cancer, a vaccine that prevents MS would be a huge win for humanity.
References
This post was originally published via Substack at Data for Health .
Kjetil Bjornevik et al. Longitudinal analysis reveals high prevalence of Epstein-Barr virus associated with multiple sclerosis Science 375,296-301(2022).
Hittle M, Culpepper WJ, Langer-Gould A, et al. Population-Based Estimates for the Prevalence of Multiple Sclerosis in the United States by Race, Ethnicity, Age, Sex, and Geographic Region. JAMA Neurol. 2023;80(7):693–701.

